苹果直播-精品苹果直播地址页
长者助手
无障碍
手机版
智能机器人
网站支持
主页
苹果直播公开
政民互动
政务服务
走进陆丰
专题专栏
部门镇办
苹果直播-精品苹果直播地址页
>
苹果直播 门户网站
>
重点领域信息公开
>
乡村振兴/扶贫工作信息
>
乡村振兴/扶贫基金项目
分享到:
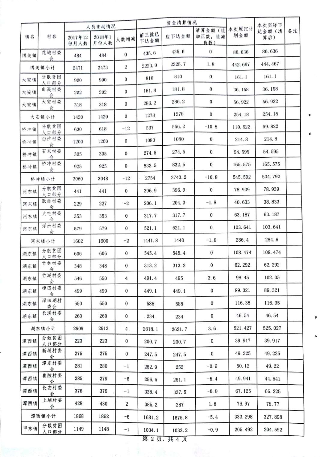
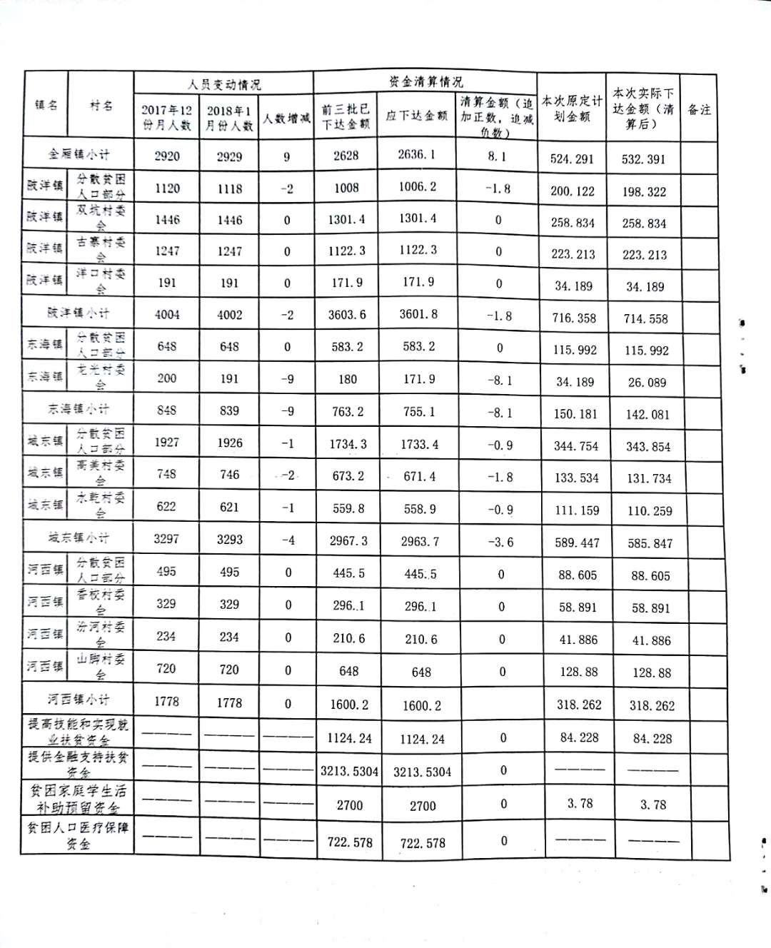
关于下达新时期精准扶贫精准脱贫资金(第四批)的通知
2018-08-21 17:06
来源:
发布机构:
苹果直播 门户网站
【字体:
大
中
小
】
关联稿件:
相关附件:
您访问的链接即将离开“苹果直播 ”门户网站,是否继续?